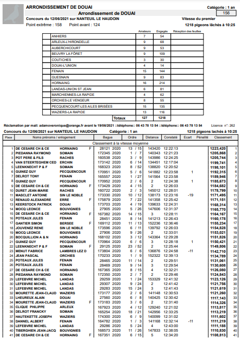
Publié le15/06/2021Résultat du 13-06 Groupement de Douai Nanteuil 1an Nanteuil Jeunes Nanteuil Vieux PartagezTweetezPartagez