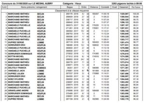
En ce début de saison 2020 les pigeons de Mathieu Marchand, colombophile de Carvin, réalisent d’excellentes prestations. Au concours de Le Mesnil Aubry du 31 Mai, sur un contingent de 3263 vieux, ses pigeons sont les seuls à voler à plus de 1300 M/min.

Ce passionné est dans la colombophilie depuis sa plus tendre enfance. Dans sa jeunesse, il jouait en tandem avec son grand père : Herman Julien à Annoeullin. Depuis 2007, il joue seul à Carvin, toujours avec comme base de sa colonie les pigeons de son grand père.
En 2008, il est sacré champion Nord-Pas-de-Calais demi-fond avec les yearlings. En 2010 il a acquis une quinzaine de pigeons chez Didier Hoflack, colombophile renommé du Boulonnais. Cela lui a permis d’améliorer la génétique de son cheptel et de pouvoir jouer un peu plus loin : ce fût un succès. Plus tard, en 2017, deux tardifs sont achetés chez André Roodhooft , là c’est l’ étincelle! La réussite est au rendez-vous,
pour preuve sur les 4 premiers du concours de Le Mesnil du 31 Mai, deux sont de cette origine. Trois grandes origines donc et un colombophile aguerri !
Pour le premier concours de la saison l’amateur reconnu démarre fort, les résultats parlent d’eux même !
Au groupement de Lille vitesse le 31/05 Le Mesnil Aubry (165 407km) 3263 vieux :
- 1, 2, 3, 4, 10, 17, 18, 19, 25, 26, 30, 42, 43, 44, 59, 65, 94, 111, 132, 136, 157, 199, 212, 245, 249, 362, 519 (27/32)
- Au sous groupement les deux cantons sur 1207 pigeons avec 71 amateurs il fait les huit premiers prix
Ce jour-là les deux premiers sont les seuls du contingent à avoir volé à plus de 1300 m/min, par vent d’est !


Ci-dessus 268609-18 le deuxième, qui n’a pas encore mué une seule plume.
En catégorie yearling, c’est aussi une demonstration !
Au groupement de Lille vitesse le 31/05 Le Mesnil Aubry (165 407km) 2637 yearling :
- 1, 2, 3, 4, 9, 13, 17, 20, 56, 67, 88, 104, 112, 147, 148, 238, 277, 590 (18/20)
- Au sous groupement les deux cantons 6 premiers, 18 prix sur 20 engagés avec 870 pigeons pour 66 amateurs
(résultats complets des deux cantons sur le site https://michel-thullier.sitego.fr/resultat-des-concours-2020.html )


Pour une meilleure sélection Mathieu joue également quelques femelles, pendant la saison sportive elles sont accouplées avec des reproducteurs puis elles sont jouées au naturel. Sur ce concours il fait 8 prix sur 13 avec ces dames (11, 20, 33, 64, 231, 288, 304, 380).
Louis Gustin (CLP)




